Broadside Coupler Channels 1 To 10 GHz

The combined use of two leading microwave simulators helped to create this broadband 90-deg. coupler which features two 19-section broadside couplers as part of a tandem structure.
Jan. 25, 2012
10 min read
Download this article in .PDF format
This file type includes high resolution graphics and schematics when applicable.

S. Mohammad Hassan Javadzadeh, S. Mohammad Saeed Majedi, and Forouhar Farzaneh

Quadrature hybrid couplers are useful in communications systems and measurement applications. Many 3-dB, 90-deg. hybrid directional couplers have been developed for narrowband use but, with growing interest in ultrawideband (UWB) communications, a proposed 90-deg. quadrature hybrid coupler has been designed for use from 1 to 10 GHz. It was realized in broadside stripline technology, with the coupled regions connected by means of a tandem structure. The coupler was modeled and simulated using commercial computer-aided-engineering (CAE) simulation programs, such as the Advanced Design System (ADS) from Agilent Technologies and the High Frequency Structure Simulator (HFSS) from Ansoft, with simulations showing close agreement with measurements. A prototype yielded amplitude unbalance of 1.5 dB, phase unbalance of 90 7 deg., and isolation and return loss of better than 14 dB from 1 to 10 GHz.

In a transverse electromagnetic (TEM) system, two coupled parallel lines achieve the highest degree of coupling when they are one-quarter wavelength (λ/4) of the frequency of interest.1 Meeting this one-quarter-wavelength requirement for optimum coupling usually results in a relatively narrow operating bandwidth (about 10% to 20%). More wideband coupling can be achieved by cascading several λ/4 coupled sections together. By increasing the number of λ/4 coupled sections, a broadband response with minimal amplitude ripples can be achieved.1 Crystal and Young have presented detailed design data for this type of device,2 generating tabular data that provides the required even-mode impedance for each section to produce an equiripple frequency response.

One of the challenges in designing a broadband coupler is that the coupling required of the central elements in a multi-section configuration is always tighter than that of the overall coupler. Such tight coupling values are difficult or impossible to realize in microstrip.3 To resolve this problem, the authors employed a broadside stripline structure. Another challenge is the presence of discontinuities in the coupling coefficient function, corresponding to discontinuities in the dimensions of the coupler's stripline transmission lines.4 This problem can be mitigated by tapering the stripline transmission lines to minimize discontinuities.

A number of reports have been published in recent years presenting new structures intended to increase bandwidth or decrease coupler size.5-10 The present report will attempt to optimize broadband coupler performance by referring first to tables of coupler dimensions as starting points.2 Following that, the LineCalc tool within the ADS software suite is used to obtain the dimensions for each coupler section. Then, the broadside stripline coupled-line elements in ADS are used to optimize these dimensions. The performance of the coupler design is simulated using the Momentum electromagnetic (EM) simulator within the ADS software suite. Finally, a full three-dimensional (3D) analysis is performed using HFSS.

This broadband coupler design is based on the interconnection of two symmetrical multisection couplers with a crossover in tandem. In this configuration, the coupled and direct ports of one multisection coupler must be connected to the isolated and input ports of another multisection coupler.11 The broadside stripline structure, employing a crossover in each coupler, allows the coupled and direct outputs of each coupler to be fabricated on one side of the circuit, while the structure without the crossover and the coupled and direct ports are not fabricated on one side (Fig. 1 and Fig. 2).

As Fig. 3 shows, a 3-dB coupler can be realized by using two 8.34-dB couplers connected in tandem. In this configuration, 3 dB = 20log and 8.34 dB = 20log.

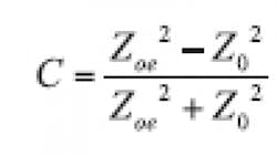
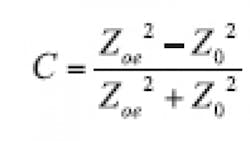
Parameters C1, C2, and CN are the coupling coefficients of each individual quarter-wavelength coupler stage, given by Eq. 1:

where Zoe = even-mode impedance of each coupled line; Zoo = odd-mode impedance of each coupled line; and Z0 = 50 Ω.

Stripline was chosen as the transmission-line medium for the multisection coupler. The broadside coupling approach was also selected to realize the cascaded couplers (Fig. 4).

For a broadside stripline structure with δ = 0, the even-order and odd-order impedances are calculated by means of the equalities in Eq. 212:

where: η0 = the characteristic impedance of free space, which is equal to 120π.

Page Title

Since it is desirable to achieve maximum bandwidth with the coupler, the highest possible coupling coefficient must be achieved for the center section. To do this, the separation of the inner conductors must be kept to a minimum, and the separation of the two ground planes must be at a maximum for maximum coupling. Using a circuit substrate with low relative dielectric constant helps to achieve maximum coupling as well.11

To meet these requirements, a suitable circuit-board material was needed to implement the coupler values of Table 1. Low-loss RT/duroid 5880 dielectric material from Rogers Corp., with relative dielectric constant (er) of 2.2, was selected for the coupler, using the material in thickness of 10 mils for the middle layer and 31 mils for the two other layers. The three dielectric layers were sandwiched between two metal plates to form the stripline coupler structure.

The multisection hybrid coupler requires a structure with various "jump" discontinuities in coupling values, known as a coupling profile . This is defined as the value of the coupling factor as a function of the distance along the coupler's propagation axis. To ensure that the 3-dB, 90-deg. coupler design provides suitable performance from 1 to 10 GHz, it will be designed and simulated over an initial bandwidth of 1 to 18 GHz.

By referring to the tables of coupling values found in refs. 2 and 13, it was found that a 19-section coupler would provide the needed performance. Those tables make it easy to obtain the even-mode impedances and corresponding coupling coefficients for each section. Once those values have been found, the LineCalc transmission-line calculator in ADS can be used to find the dimensions for each coupled section. Optimization of these values was also performed in the ADS software. These optimized dimensions were then used for the final design and simulation performed in the HFSS 3D EM software.

Figure 5 shows the 19-section coupler with tandem structure in the HFSS design environment. In Fig. 5, if port 1 is considered the input, then ports 2, 3, and 4 will be the direct, coupled, and isolated ports, respectively. Table 2 shows the final optimized values for length, line width (W), and offset between the up and down transmission lines (δ) in the broadside structure for each section of the coupler.

Figure 6, Figure 7, and Figure 8 present the results of simulations performed with HFSS, including direct-path insertion loss (S21 in dB) and coupled-path insertion loss (S31 in dB) in Fig. 6.

The insertion loss of both the direct and coupled paths is about 3 dB, indicating that the structure is performing as a 3-dB coupler. Figure 7 shows the phase difference between the direct-path and coupled-path channels in the coupler which, for a quadrature hybrid, should be about 90 deg. Figure 8 shows simulated return loss (S11 in dB) and isolation (S41 in dB) for the multisection coupler design. The simulation responses reveal that the amplitude imbalance is very good, at 0.6 dB, while the phase imbalance is acceptable, at 90 6 deg. The return loss and isolation are both better than 12 dB from 1 to 18 GHz (although the coupler was nominally designed for use from 1 to 10 GHz).

To fabricate the coupler, a commercial microwave substrate with relative dielectric constant, er, of 2.2 and circuit values of b = 72 mil and S = 10 mil was employed. RT/duroid 5880 substrates were used in fabricating the prototype coupler. Figure 9 shows the prototype hybrid coupler, measuring just 120 x 44 x 14 mm.

To create the broadside stripline coupler, the circuit pattern was formed on one side of two thicker laminate layers; another substrate layer was then placed between these two layers. The three substrate layers were then sandwiched between two aluminum plates to form the final stripline structure.

Measurement results for the fabricated coupler, shown in Fig. 10, Fig. 11, Fig. 12, and Fig. 13, show good agreement with the earlier simulations.

Figure 10 displays the measured scattering parameters from 1 to 18 GHz while Figs. 11(a) and 11(b) show the measured amplitude difference 21 (in dB) S31 (in dB)> and phase difference 21) arg(S31)> between the direct and coupled ports. The fabricated hybrid coupler offers respectable performance over the expanded frequency range of 1 to 18 GHz, in close agreement with simulated performance, and with good performance over the designed frequency range of 1 to 10 GHz.

Figure 12 shows the scattering parameters from 1 to 10 GHz, while Figures 13(a) and 13(b) show the measured amplitude and phase differences, respectively, between the direct and coupled ports.

Finally, Fig. 14 offers a comparison over the frequency range from 1 to 10 GHz. The measurements show amplitude imbalance maintained within 1.5 dB while the phase imbalance is controlled within 90 7 deg. from 1 to 10 GHz. In close match with simulations, measured return loss and isolation exceed 14 dB from 1 to 10 GHz.

S. MOHAMMAD HASSAN JAVADZADEH, Ph.D. Candidate, Sharif University of Technology, Tehran, Iran; e-mail: [email protected].

S. MOHAMMAD SAEED MAJEDI, Ph.D. Candidate, Ferdowsi University, Mashhad, Iran; e-mail: [email protected].

FOROUHAR FARZANEH, Professor, Sharif University of Technology, Tehran, Iran; e-mail: [email protected].

Acknowledgment

This project was supported by Baregheh Communication Co. (Tehran, Iran).

References

  1. C.M. Potter and G. Hjipieris, "Improvements in ultra-broadband TEM coupler design," IEE Proceedings on Microwaves, Antennas and Propagation, Vol. 139, No. 2, April 1992, pp. 171-178.
  2. E.G. Cristal and L. Young, "Theory and Tables of Optimum Symmetrical TEM-Mode Coupled Transmission-Line Directional Couplers," IEEE Transactions on Microwave Theory and Techniques, Vol. 13,No. 5, September 1965, pp. 693-695.
  3. J.L.B. Walker, "Analysis and design of Kemp-type 3-dB quadrature couplers," IEEE Transactions on Microwave Theory and Techniques, Vol. 38, No. 1, January 1990, pp. 88-90.
  4. D.W. Kammler, "The Design of Discrete N-Section and Continuously Tapered Symmetrical Microwave TEM Directional Couplers," IEEE Trans. on Microwave Theory and Techniques, Aug. 1969, pp. 577-590.
  5. D.K.Y. Lau, S.P. Marsh, L.E. Davis, and R. Sloan, "Simplified design technique for high performance microstrip multisection couplers," IEEE Trans. on Microwave Theory & Techniques, December 1998, pp. 2507-2513.
  6. O.A. Sen, C. Dudak, and T. Kirilmaz, "Novel broadband 3-dB directional coupler design method," WSEAS Trans. on Circuits and Systems, March 2007.
  7. J.H. Cho, H.Y. Hwang, and S.W. Yun, "A design of wideband 3-dB coupler with N-section microstrip tandem structure," IEEE Microwave and Wireless Components Letters, Vol. 15, No. 2, February 2005, pp. 113-115.
  8. S.G. Mao and M.S. Wu, "A novel 3-dB directional coupler with broad bandwidth and compact size using composite right/left-handed coplanar waveguides," IEEE Microwave and Wireless Comps. Letts., Vol. 17, No. 5, May 2007, pp. 331-333.
  9. Hui-Chun Chen and Chi-Yang Chang, "Modified Vertically Installed Planar Couplers for Ultrabroadband Multisection Quadrature Hybrid," IEEE Microwave and Wireless Components Letters, Vol. 16, No. 8, 2006. pp. 446-448.
  10. Leung Chiu and Quan Xue, "Investigation of a Wideband 90 Hybrid Coupler With an Arbitrary Coupling Level," IEEE Transactions on Microwave Theory and Techniques, Vol. 58, No. 4, April 2010, pp. 1022-1029.
  11. J.P. Shelton and J.A. Mosko, "Synthesis and Design of Wide-Band Equal-Ripple TEM Directional Couplers and Fixed Phase Shifters," IEEE Transactions on Microwave Theory and Techniques, October 1966, pp. 462-473.
  12. David M. Pozar, Microwave Engineering, 3rd. ed., Wiley, New York, 2005.
  13. G. Matthaei, L. Young, and E.M.T. Jones, Microwave Filters, Impedance-Matching Networks, and Coupling Structures, McGraw-Hill, NY, 1964.
Download this article in .PDF format
This file type includes high resolution graphics and schematics when applicable.
Sign up for our eNewsletters
Get the latest news and updates